
一、增重率
圖1給出了玻璃纖維增強復合材料試樣經鹽霧老化不同時間后,增重率的變化曲線。由圖可見,從初始到16天期間所有試樣質量均逐漸增加;在16天至4O天時A、B、D試樣的增重率變化趨于平緩,而C試樣增重率仍在增加;40天至6O天時A、B、D試樣又開始增重,而C試樣的增重率卻有所下降。總體來看,增重率從大到小依次是c>D>B>A,即試樣體積越小,其質量的變化越大。原因可以解釋為,體積小的試樣水分滲透到試樣內部所需時間較短,所以在相同時間內,小體積試樣的增重率變化更快一些。對于體積相同的A、B試樣,其增重率的差別應來源于內部縱橫纖維比例的不同,因為纖維織紋會影響復合材料的濕擴散行為嘲。

引起增重的另一原因是鹽霧在試樣表面的沉積,但由于N aC 1濃度較低,而且離子體積比水分子大,N aC I很難像水分子一樣擴散到試樣內部[6]。所以鹽的沉積只能作為次要因素,當水分的吸收接近飽和后,鹽在表面累積的效果才顯現出來。
二、力學性能
1、力學曲線形狀與老化時間的關系
根據文獻報道,玻纖增強環氧改性酚醛樹脂的拉伸應力一應變曲線屬于硬而脆型,即彈性模量大、屈服強度中等(或無屈服點)、斷裂強度中等、斷裂伸長小。試驗結果符合這一特征,拉伸曲線沒有屈服點,最大應力發生在斷裂點,斷裂時的力為斷裂拉伸強度。為了更清楚和更準確,橫坐標用時間取代應變值,因為試樣伸長率很小(約為1),而加載速度不變的情況下,夾具的位移與時間成正比;縱坐標用載荷值取代應力值,因為加載過程中試樣截面積變化很小,可以忽略。考慮到復合材料力學性能數據的分散性,僅以個別拉伸性能指標評價材料老化或僅以一個平均值來概括變化趨勢,有時會得出片面的、錯誤的結論。
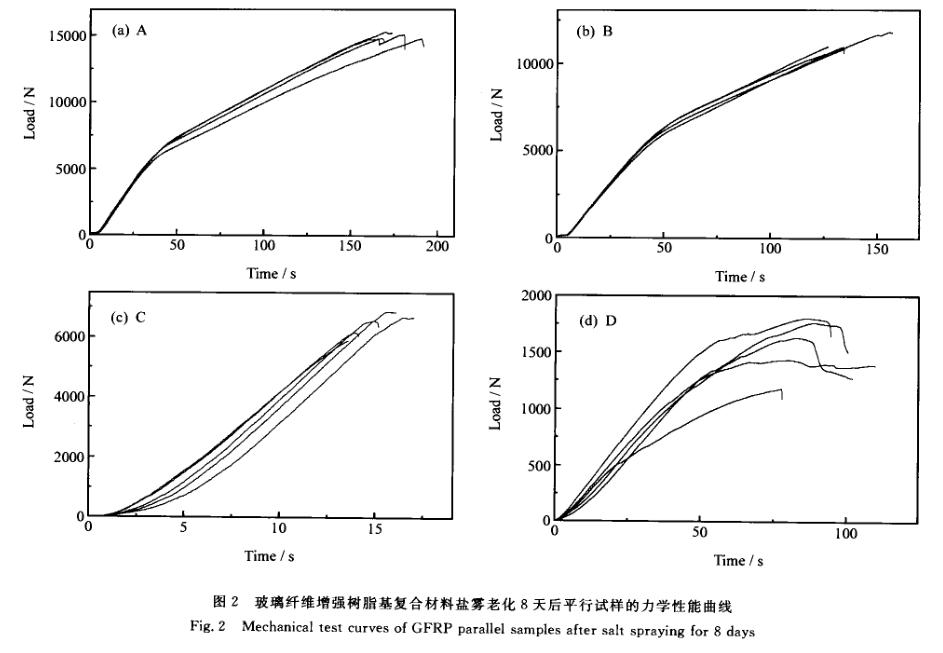
圖2為鹽霧老化8天后,測得的縱向拉伸、橫向拉伸、壓縮和層間剪切性能曲線,同一力學性能的5個平行試樣曲線重合得很好,特別是拉伸曲線,幾乎完全重合,因而所得的平均值也有較高的可靠性。圖3為經鹽霧老化0、8、16、40、60天后同一力學性能試驗得到的載荷一時間曲線的比較。隨著老化時問的延長,拉伸試驗力一時間曲線沿著斷裂拉伸強度不斷減少的方向發展,而壓縮強度和層問剪切強度也都呈下降趨勢。

老化8天后力學性能顯著下降,老化8、16、40、60天后的曲線之間差別就不很顯著,力學性能的下降比較平緩,可見吸濕的最初階段對力學性能影響最大,也就是說水分的吸收是復合材料力學性能下降的主要原因。由曲線形狀的變化可以看出水對復合材料的作用:拉伸曲線主要反映纖維的性能,其形狀變化不大,說明纖維幾乎沒有受到鹽霧的侵蝕;未老化試樣的壓縮和剪切曲線比較直,發生破壞后強度幾乎是垂直于時問軸下降的,隨著老化時間的增加,曲線變得圓滑,強度達到最大值后逐漸下降,在剪切強度曲線上還出現較平緩的臺階,這兩項力學性能反映基體性能的變化,說明水對樹脂基體起了增塑的作用。
2、力學性能指標與老化時間的關系
表2為鹽霧老化不同時間后復合材料的縱向拉伸強度、橫向拉伸強度、壓縮強度和層問剪切強度值和強度保持率值。可以看出,老化60天后復合材料的縱向、橫向拉伸強度分別下降到56和55,壓縮強度下降到54 9/6,層間剪切強度下降到61。拉伸強度隨老化時間增加呈指數下降,層問剪切強度開始下降很快,而后稍有上升,壓縮強度在下降過程中略有波動。根據文獻報道,硬而脆的塑料,其拉伸強度隨老化時問的延長而下降,可直接根據下降程度評價老化。從試驗結果看,玻璃纖維增強環氧改性酚醛樹脂拉伸強度的變化比較穩定和有規律,更適合作為該復合材料鹽霧老化程度的評價指標。
三、鹽霧老化后復合材料各項指標的綜合比較
分別用每個試樣的拉伸強度、壓縮強度和層間剪切強度對其增重率作圖得到圖4,可以看這些點的分布是有規律的,隨著吸濕量的增加,復合材料的力學性能呈下降趨勢。從力學指標來看,該復合材料縱向拉伸強度最大,然后依次是橫向拉伸強度、壓縮強度和層問剪切強度;強度值的變化范圍由大到小也是同樣的順序,但由前面的討論可知這4個力學強度的保持率相差并不多。

增重率的變化范圍依次是c>D>B>A,這是由試樣尺寸和內部纖維排列的差別造成的。增重率達到2左右以前,力學性能下降明顯,之后雖然增重率繼續增加,但力學性能變化不大,可能是水分擴散已達到飽和,而水的進一步侵蝕還需更長時問。
四、結論
(1)G F R P試樣的增重主要由水分的吸收引起,其次還有鹽霧在試樣表面的沉積。
(2)力學性能曲線屬于硬而脆型,縱向拉伸強度最大,經鹽霧老化后,由于水對基體的增效果使壓縮和剪切強度曲線略顯韌性特征,對拉伸曲線的形狀影響不大;各平行試樣的拉伸強度曲線重合性最好。
(3)力學性能隨鹽霧老化時間的增加而下降,且老化初期下降速度最快;壓縮和層間剪切強度變化不規則,拉伸強度的變化呈指數趨勢。
(4)拉伸強度更適合作為該復合材料鹽霧老化的評價指標。
(5)力學性能隨吸濕量的增加而下降,吸濕量達到一定程度后力學性能隨老化時間的變化不明顯。

粵公網安備 44190002001231號